道生化工缩合型硅橡胶原料
1.中间体
(1)八甲基环四硅氧烷(进口)
包装 | 价格/元 |
100g | 250.8 |
2kg | 1580 |
15kg | 7228 |
(2)酰氧基硅烷
甲基三乙酰氧及硅烷
甲基三乙酰氧及硅烷(进口)
(3)酮肟基硅烷
甲基三丁酮肟硅烷(进口)
包装 | 价格/元 |
100g | 400 |
2kg | 3385 |
16kg | 10112 |
乙烯基三丁酮肟基硅烷(进口)
包装 | 价格/元 |
50g | 376 |
2kg | 4062 |
16kg | 15891 |
六官能硅烷(进口)
包装 | 价格/元 |
25g | 376 |
100g | 1106 |
2kg | 8125 |
2.催化剂
钛酸四丁酯
二月桂酸二丁基锡
3 羟基硅油
端羟基聚二甲基硅氧烷(进口)
分子量 | Wt%(OH) | 包装 | 价格/元 |
400-700 | 4.5-7.5 | 100g | 565 |
3kg | 3725 |
700-1500 | 3.0-4.0 | 100g | 451 |
4200 | 0.8-0.9 | 100g | 383 |
26000 | 0.1 | 100g | 376 |
90000-150000 | 0.03 | 100g | 835 |
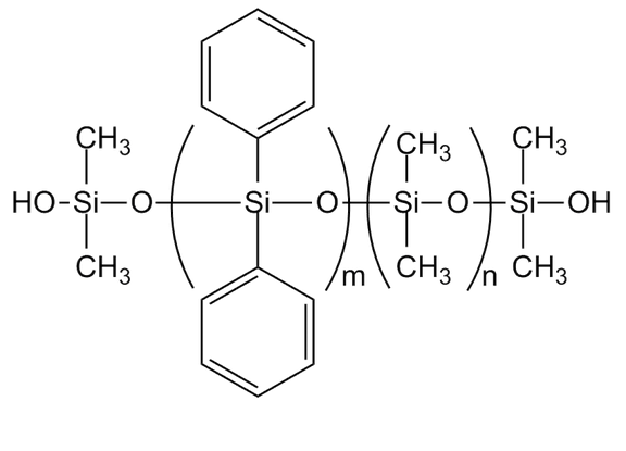
端羟基聚二甲基苯基硅氧烷(进口)

分子量 | 二苯基Mole% | 包装 | 价格/元 |
900-1000 | 14-18 | 100g | 1177 |
3kg | 9510 |
端羟基聚甲基三氟丙基硅氧烷(进口)
分子量 | Mole% CF3CH2CH2SiO | 包装 | 价格/元 |
550-800 | 100 | 100g | 1177 |
3kg | 9510 |
4. 二氧化硅
气相白炭黑(进口)
粒径/nm | 表面处理 | 比表面积/m2/g | 包装 | 价格/元 |
20 | D4 | 300 | 500g | 918 |
常规二氧化硅
根据粒径和密度不同 500g价格在 50-100元